【摘要】 随着电池需求量的不断增加,对电极材料的要求也越来越高。
可充电电池,尤其是锂离子电池(LIBs)是一种廉价的能量存储和转换系统,可用于手机、电动汽车和其他电子设备。随着电池需求量的不断增加,对电极材料的要求也越来越高。负极材料在电池系统中起着重要的作用。石墨是第一个商业化的阳极材料。然而,由于其理论比容量(372 mAh g−1)较低,不能广泛应用。因此,开发长寿命循环稳定性和高可逆容量的高性能锂离子电池负极材料是紧迫任务。
LiMPO4(其中M为Mn, Co)、Li3M2 (PO4)3(其中M为V, Ti)、Li7M2 (PO4)2(P2O7)3(其中M为Al, Cr, V)和Li2MP2O7(其中M为Fe, Co)等聚阴离子型材料具有高能量密度和优异的热稳定性,作为正极材料被广泛研究。在这些材料中,Li3M2 (PO4)3(其中M为V, Ti, Fe)因其高离子电导率而受到关注。
特别是Li3V2 (PO4)3(LVP)制备了两种不同形式的Li3V2 (PO4)3(LVP):单斜LVP和菱形LVP。单斜LVP因其优异的低温性能、热稳定性、优良的循环稳定性、安全性、低成本等优点而受到广泛关注。在单斜LVP中,PO4四面体和VO6八面体通过顶氧共享连接,构成“灯笼”单元框架。金属V原子周围有6个PO4四面体,而PO4四面体周围有4个VO6八面体。
这种结构形成三维网状结构,其中Li位于框架结构的孔洞中,三个四重晶体位置被Li占据,因此在一个结构单元中有12个Li位置。像PO43-这样的大阴离子取代了开放三维结构中的氧原子,使得结构更加稳定,并且由于Li+离子在其中移动速度更快,使得其具有良好的电化学、热力学稳定性,作为正极材料具有相对较高的比容量。
.png)
图1 LVP/C和LVP- V/C的典型充放电曲线。测试电位窗口在0.01 ~ 3.0 V (Vs. Li+/Li)。[1]
在3.0 ~ 4.8 V之间,Li3V2 (PO4)3(LVP)可以获得平均4.0 V的萃取/插拔电压,比LiFePO4高出0.6 V,并且可以完全去除3个锂离子,从而获得更高的理论容量(197 mAh g−1),因此被认为是锂离子电池的理想阴极候选材料。然而,LVP的主要缺陷是其低性质的电子导电性,这限制了它在高功率密度电池中的应用。
研究人员已经使用了不同的制备和加工方法来克服这一问题,包括掺杂金属阳离子和使用碳涂层法。碳包覆是首先将有机前驱体引入到原料中,在高温下进行热解过程,在惰性气氛下将有机前驱体转化为导电碳。实际上,在碳包覆Li3V2 (PO4)3(LVP/C)的制备中,当使用五价钒前驱体如NH4VO3时,碳不仅可以增强电子导电性,还可以作为还原剂将V5+还原为V3+。
然而,到目前为止,关于LVP作为阳极材料的报道很少。张[1]等人的电化学试验发现,LVP还可以可逆地插入和脱插Li+,因此它同样可以用作阳极材料。在他们的工作中,研究了LVP作为阳极材料。大多数研究集中在以V4+/V3+氧化还原对的NASICON结构LVP作为高压阴极的候选材料,而在较低电压范围内使用LVP作为阳极材料的报道也很少。
由于LVP是一种不受范德华力键合的多原子大阴离子材料,可能具有较高的化学稳定性和电化学稳定性,有望用作锂离子电池的负极材料。在这项工作中,发现LVP/C不仅可以作为锂离子电池的阴极材料,也可以作为阳极材料。也就是说,LVP/C复合材料可以组成一个完整的对称锂离子电池系统。

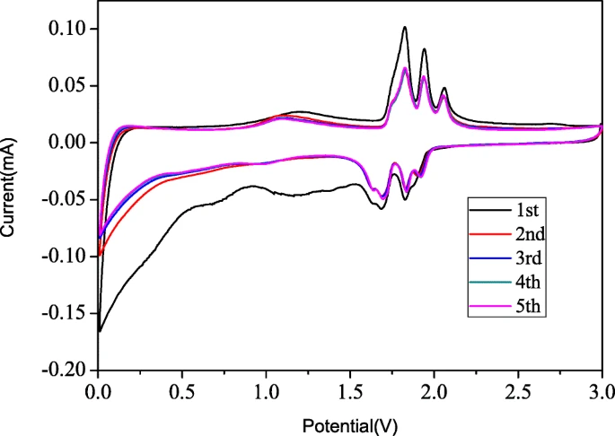
图1 在0.01 ~ 3.0 V范围内,扫描速率为0.1 mV/s时,LVP-V/C电极前5次循环的循环伏安曲线。[1]。
张[1]等人采用RPR工艺合成了LVP/C和LVP-V/C复合材料。与LVP/C相比,LVP- V/C具有更规则的多面体粉末形态。所得LVP-V/C电极用作lib的阳极材料。第一次放电容量可达1082 mAh g−1,300次循环后可保持432 mAh g−1。LVP-V/C具有良好的容量保持能力应归功于碳涂层,而高速率能力与粒径小、Rc - t低、Li+扩散系数高有关。此外,在循环过程中,晶体结构和固液界面的稳定性有利于电化学性能的提高。综上所述,通过RPR工艺合成的LVP-V/C是一种极具潜力的阳极材料。
[1] Zhang, Y., Feng, C., Zhang, Y. et al. Synthesis and electrochemical properties of Li3V2 (PO4)3-V2O3/C as anode material for lithium-ion battery application. Ionics 25, 5617–5623 (2019).
科学指南针以分析测试为核心,提供材料测试、环境检测、生物服务、模拟计算、科研绘图等多项科研产品,累计服务1800+个高校、科研院所及6000+家企业,获得了60万科研工作者的信赖。始终秉持“全心全意服务科研,助力全球科技创新”的使命,致力于为高校、院所、医院、研发型企业等科研工作者提供专业、快捷、全方位的服务。
免责声明:部分文章整合自网络,因内容庞杂无法联系到全部作者,如有侵权,请联系删除,我们会在第一时间予以答复,万分感谢。







您已经拒绝加入团体

