【摘要】 扫描电子显微镜已成为表征物质微观结构不可或缺的仪器。
扫描电子显微镜已成为表征物质微观结构不可或缺的仪器。在扫描电镜中,电子束与试样的物质发生相互作用,可产生二次电子、特征X射线、背散射电子等多种的信号,通过采集二次电子、背散射电子得到有关物质表面微观形貌的信息,背散射电子衍射花样得到晶体结构信息,特征X-射线得到物质化学成分的信息,这些得到的都是接近样品表面的信息。在扫描电镜上配置透射附件,应用透射模式(Scanning transmission electron microscopy,STEM)可得到物质的内部结构信息,使其既有扫描电镜的功能,又具备透射电镜的功能,与透射电镜相比,由于其加速电压低,所以可显著减少电子束对样品的损伤,而且可大大提高图像的衬度,特别适合于有机高分子、生物等软材料样品的透射分析。
1. 扫描透射像的形成原理
在扫描电镜中,电子束与薄样品相互作用时,会有一部分电子透过样品,这一部分透射电子也可用来成像,其形成的像就是扫描透射像(STEM像)。如图1所示,扫描电镜的STEM图像跟透射电镜类似,也分为明场像(bright field,BF)和暗场像(dark field,DF),明场像的探测器安装在扫描电镜样品的正下方,当入射电子束穿过样品后,散射角度较小的电子经过光阑孔选择后进入明场探测器形成透射明场像,散射角比较大的电子经DF-STEM电极板反射,由二次电子探头接受形成暗场像。由于扫描电镜中暗场像的信号较弱,在此我们主要讨论明场像。

2. 扫描电镜中STEM像的特点及应用
2.1透射像的衬度
透射电子像的形成主要是入射电子束与样品发生相互作用,当电子束穿过样品逸出下表面时,电子束的强度发生了变化,从而投影到荧光屏上的强度是不均匀的,这种强度不均匀就形成了透射像。通常以衬度(Contrast,C)来描述透射电子所成的像,衬度指样品电子像上相邻区域的电子束强度差,即图像的对比度,可以下式表示:

式中,I1为电子像中样品某区域的电子束强度,I2为相邻区域的电子束强度。通常,人眼不能分辨小于5%的衬度差别,甚至区分10%的衬度差别也有困难,但是用CCD相机等记录下数字化的电子化图像,再进行处理可增大衬度使人眼能够分辨。
电子束被样品散射后,根据样品的性质不同,电子束的振幅和相位会发生相应的改变,形成振幅衬度像和相位衬度像,其中由于样品的质量(原子序数、密度等)或者厚度的差异造成的透射电子束强度的差异而形成的衬度称为质厚衬度,非晶材料的透射像衬度主要为质厚衬度像,如图2所示,入射电子透过样品时碰到的原子数越多即样品越厚,或者样品原子核库仑电场越强即原子序数或密度越大,被散射的大角度的电子越多,被挡在物镜光阑之外越多,成像系统接受的电子数越少,那么衬度高,反之衬度越低。

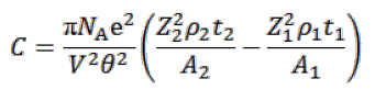
通过推导计算可得到质厚衬度的公式:

式中,C为质厚衬度,NA为阿伏伽德罗常数,e为电子电荷,V为透射电镜的加速电压,θ为散射角,Z2,Z1分别为产生衬度的样品两部分的原子序数,ρ2,ρ1为两部分的密度,t2,t1为两部分的厚度,A2,A1是两部分的相对原子质量。由此可见,质厚衬度与加速电压、散射角、原子序数、密度和厚度都有关。生物、有机高分子类样品主要由轻元素组成,原子序数相差小,对电子的散射几率小,因此衬度低,通过降低加速电压的方法可提高衬度。
2.2扫描电镜STEM模式的应用
透射电镜的加速电压较高(一般为120-200kV),对于有机高分子、生物等软材料样品的穿透能力强,形成的透射像衬度低,而扫描电镜的加速电压较低(一般用10-30kV),因此应用其STEM模式成透射像,可大大提高像的衬度。图3所示为有机太阳能电池用的高分子/富勒烯薄膜(有机固体实验室样品)的透射电子像,在用透射电镜观察其分相结构时,由于两部分衬度都低,因此几乎无法区分,而应用扫描电镜的STEM模式观察时,可清楚地观察到两相的结构。

应用透射电镜观察生物样品时,由于样品的衬度很低,须经过铀、铅等重金 属染色才能获得其结构信息,然而染色不仅麻烦而且可能会改变样品的结构。在 应用扫描电镜的STEM模式观察生物样品时,样品无需染色直接观察即可获得较 高衬度的图像,图4为应用STEM模式观察得到的未染色的生物品的电镜图,可 以看到其纳米尺度的片层结构。

除了可显著提高透射像的衬度外,应用扫描电镜STEM成像还有一个优势是可对样品同时成扫描二次电子像和透射像,既可以得到同一位置的表面形貌信息又可以得到内部结构信息,避免了在扫描电镜和透射电镜之间转换样品、定位样品的麻烦。图5所示为应用扫描电镜观察有机螺旋纳米线(光化学实验室样品)得到的二次电子像和透射像(STEM明场像和暗场像),从二次电子像可以清楚地观察到纳米线的螺旋结构,从透射像可以看出纳米线是实心结构非空心管结构。

总之,随着科学研究的深入对于物质结构分析的要求越来越高,扫描电镜STEM透射模式由于其衬度高、损伤小等特点,非常适合于有机高分子、生物等软材料的结构分析,将在此类材料的分析表征中发挥不可替代的作用。
免责声明:部分文章整合自网络,因内容庞杂无法联系到全部作者,如有侵权,请联系删除,我们会在第一时间予以答复,万分感谢。
科学指南针为您提供材料测试,主要业务范围包括XPS,普通XRD,透射电子显微镜TEM,全自动比表面及孔隙度分析BET等测试。







您已经拒绝加入团体

