【摘要】 热重分析(thermogravimetric analysis, TG或者TGA)是指在程序控温条件下测量待测样品的质量与温度变化关系的一种热分析技术,可以用来研究材料的热稳定性和组分。
TG的基本原理?
热重分析(thermogravimetric analysis, TG或者TGA)是指在程序控温条件下测量待测样品的质量与温度变化关系的一种热分析技术,可以用来研究材料的热稳定性和组分。
注:之所以定义为质量的变化而非重量变化是基于在磁场作用下,强磁性材料达到居里点时,虽无质量变化,却有表观失重。

图一 热重分析仪的图示
TG可以做什么?
从其原理我们知道,TG分析的是温度和样品质量之间的关系,那么在温度变化过程中,存在质量变化的反应,基本都能够通过TG表现出来。在实际中这样的反应包括:1)物理变化,如蒸发、升华、吸收、吸附和脱附等;2)化学反应,TG也可提供有关化学现象的信息,如化学吸附、脱溶剂(尤其是脱水)、分解和固相-气相反应(如氧化或还原)等。
注:一般说来TG只能分析在温度变化过程中存在质量变化的反应,但是实际中很多反应在温度变化过程中是不存在质量变化的,比如相转变(如石英的α向β相转变),玻璃态转变等,此时可以结合DSC或DTA来进行分析(因为发生相转变过程中存在吸/放热)
具体来讲TG主要用于这四个方面:
1)通过分析材料的分解模式来解析其特性;
2)研究材料的降解机制及反应动力学;
3)测定样品中有机物的含量;
4)测定样品中无机物的含量。
这些方法可以用来验证材料的结构或者也可以对材料进行化学成分分析。其中TG技术在高分子材料中应用尤为广泛如:热塑性塑料、热固性材料、人造橡胶、复合材料、塑料薄膜、纤维、涂料和油漆等。
TG的测试流程

图二 TG测试常用流程图
TG曲线实例分析
一、TG与DTA的联用技术用于对反应过程分析
如下图所示,研究者结合TG和DTA对α-MnO2在高温下的晶型转变进行了探索。从图三可以看出,400℃时出现第一次质量损失(1.9%),对应于分解水的脱去;在530℃下,出现第二次质量损失,对应于O2的释放,从而推测此处出现了α-MnO2到方铁锰矿相(Mn2O3)的转变;870℃下的吸热峰则对应于晶型向黑锰矿(Mn3O4)晶型转变。

图三 TG-DTA联用[1]
二、TG法用于确定样品的热处理温度
图四所示是一种利用空气刻蚀技术对石墨烯基面造孔,从而引入微/介孔的实验结果。该研究者利用TG测试技术(指图中-●-线),但需要说明的是,此处只是利用6个不同温度下条件下,保温10小时后所剩石墨烯质量进行绘制图形的结果,与一般意义上的程序控温有些不同。根据图四,发现在440℃左右开始出现大的质量损失,证明此处是石墨烯被空气刻蚀开始的温度,证明440℃下,既能够保证石墨烯基面能够被刻蚀,又不会出现石墨烯被完全烧掉的情况,保证了最终能够得到具有基面微/介孔的石墨烯材料。

图四 TG用于确定反应温度[2]
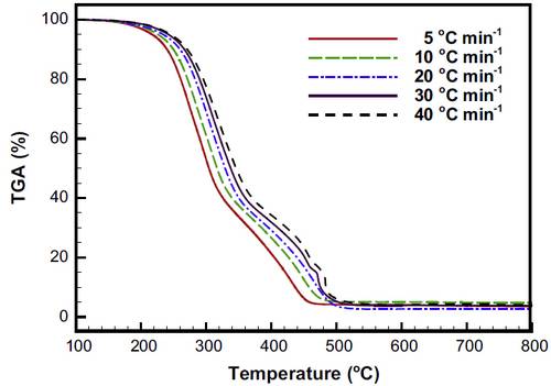
三、运用TG技术调查燃料的点火温度和燃烧温度
此处为对以竹子为固体燃料的测试。在不同升温速率下,对其进行了热重分析。由图五可知,两处不同的质量损失段分别对应于不同的反应。其中,在温度为200-350℃为竹子中综纤维素和木质素的燃烧分解所致,在温度为350-500℃的质量损失则对应于所剩木质素和碳的燃烧。

图五 利用TG进行分析燃料的点火温度和燃烧温度[3]
此外,利用TG可以分析一些亚稳材料的热稳定性。
参考文献
[1] Y. Tanaka a M T a Y T. ESCA and thermodynamic studies of alkali metal ion exchangereactions on an a-MnO2 phase with the tunnel structure. Phys. Chem. Chem. Phys, Received 20th September 1999, Accepted 25th January 2000:
[2] Lin Y, Han X, Campbell C J, et al. Holey Graphene Nanomanufacturing: Structure, Composition, and Electrochemical Properties. Advanced Functional Materials, 2015, 25(19): 2920-2927.
[3] Lu J-J, Chen W-H. Investigation on the ignition and burnout temperatures of bamboo and sugarcane bagasse by thermogravimetric analysis. Applied Energy, 2015, 160: 49-57.
科学指南针是互联网+科技服务平台,500多家检测机构,提供近5万种设备和服务项目,涵盖生物医药、智能硬件、化学化工等多个领域,由专业人员1对1跟踪服务,保证检测质量与效率。
免责声明:部分文章整合自网络,因内容庞杂无法联系到全部作者,如有侵权,请联系删除,我们会在第一时间予以答复,万分感谢。







您已经拒绝加入团体

