【摘要】 本研究开发基于GC-MS的异戊二烯硝酸盐精确测量技术,实现单个异构体有效分离鉴定,为大气化学研究和环境监测提供重要分析方法。
研究背景与科学意义
异戊二烯作为全球大气中最主要的生物源挥发性有机化合物(VOC),其排放量占据全球VOC总排放量的三分之一。这种主要由植被在白天释放的不饱和化合物,极易与OH自由基、NO3自由基以及臭氧发生氧化反应,形成复杂的大气化学转化路径。深入研究异戊二烯硝酸盐(INs)的生成机制和测量方法,对于准确评估大气氧化能力、臭氧生成效率以及区域空气质量模拟具有关键科学价值。
异戊二烯大气化学转化机制
日间反应路径
在日间光照条件下,异戊二烯主要与OH自由基发生反应,生成八种异构羟基过氧自由基。这些过氧自由基与其他有机过氧自由基类似,会进一步与一氧化氮反应。特别值得注意的是,异戊二烯衍生过氧自由基与NO反应的一个次要分支会生成稳定的有机硝酸盐产物,这一过程在大气氮循环中扮演重要角色。
夜间反应特征
在NO3浓度较高的夜间环境中,NO3氧化成为异戊二烯的主要消耗途径。据估算,与NO3的反应贡献了总异戊二烯硝酸盐生成量的50%以上,这一发现对理解大气夜间化学过程具有重要意义。
技术挑战与创新方案
现有测量方法的局限性
传统上,异戊二烯硝酸盐的测量面临严重的技术限制,主要体现在单个异构体的分离鉴定能力不足。这种局限性直接影响了全球化学传输模型的准确性,特别是对臭氧生成预测的可靠性。
GC-MS技术创新
本研究开发了一种基于气相色谱-质谱联用技术的新型分析方法,通过对色谱柱选择和检测条件的系统优化,实现了对单个异戊二烯硝酸盐异构体的精确识别和定量分析。
方法开发与实验设计
色谱分离技术突破
研究团队在两种不同极性的色谱柱上进行了系统测试,发现Rtx-200色谱柱能够有效分离在Rtx-1701柱上共流出的E-(4,1)-IN和Z-(1,4)-IN异构体。这一发现为复杂大气样品中异戊二烯硝酸盐的准确分析提供了技术保障。
标准品合成与鉴定
通过受控合成路线,成功制备了五种异戊二烯羟基硝酸盐标准品,并利用核磁共振技术对其结构进行了明确鉴定。这些标准品的获得为方法验证和实际样品分析提供了重要基础。
采样与分析系统优化
开发的Tenax吸附剂捕集系统能够在实际环境湿度条件下有效捕集和分析大多数已知的羟基及羰基异戊二烯硝酸盐,且不受典型环境NOx和臭氧浓度的干扰。
实验结果与技术创新
异构体分离成效
实验结果表明,新开发的GC-MS方法能够在大气基质中实现异戊二烯硝酸盐异构体的有效分离。特别是在实际相对湿度条件下,该方法表现出良好的稳定性和重现性,为现场监测提供了可靠技术支撑。
新物种发现
在合成(2,1)-IN的过程中,研究人员意外发现了一个未识别的物种X。有限的证据表明这可能是一种新的硝化物种,其仅在异戊二烯存在的光化学实验中观察到,暗示其可能是某种异戊二烯衍生的硝酸盐。

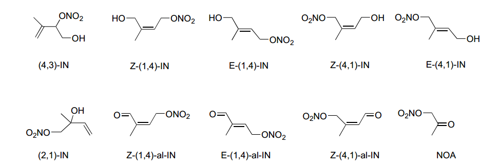
图 1. CASMIN 项目中研究的异戊二烯衍生硝酸盐[1]。
方法验证与应用前景
技术性能评估
通过对合成标准品和实际大气样品的系统分析,验证了方法的灵敏度、选择性和准确性。该方法的最低检测限能够满足环境浓度水平的监测需求。
大气化学研究价值
本技术的发展为大气化学研究提供了重要工具,特别是在以下方面具有突出价值:
1.精确评估异戊二烯对区域臭氧生成的贡献
2.完善大气氮循环的化学机制描述
3.验证和改进全球化学传输模型
环境监测应用
建立的GC-MS方法可直接应用于大气环境监测,为空气质量管理和污染控制策略制定提供科学依据。特别是在生物源VOC影响显著的区域,该方法具有重要的实践价值。
技术挑战与未来发展方向
现有技术局限
尽管取得了重要进展,但(1,2)-IN异构体的分析仍面临技术挑战,需要进一步的方法优化和改进。
未来研究重点
1.完善异构体分离技术,提高方法灵敏度
2.拓展方法应用范围,覆盖更多大气含氮有机物
3.开展长期现场观测,验证方法的实用性
4.推动技术标准化,促进方法推广应用
结论与展望
本研究成功开发了基于GC-MS技术的异戊二烯硝酸盐测量方法,实现了对单个异构体的精确分析。这一技术突破为大气化学研究提供了重要工具,将显著提升我们对大气光化学过程的理解和模拟能力。
未来随着方法的进一步完善和推广应用,预计将在区域空气质量评估、气候变化研究和大气化学机制探索等领域发挥重要作用。同时,这一技术路线也为其他大气微量成分的分析提供了有益借鉴。
参考文献
[1]Mills G P, Hiatt-Gipson G D, Bew S P, et al. Measurement of isoprene nitrates by GCMS[J]. Atmospheric Measurement Techniques, 2016, 9(9): 4533-4545.
科学指南针充分发挥互联网技术和业务优势,在国内率先打造出业界领先的线上化、数字化的科研服务基础设施,在行业内首创用户自主下单、服务全流程追踪、测试“云现场”等模式,进一步提高了大型科学仪器设施开放共享和使用效率,以实际行动助力科技创新。现已发展成为中国专业科研服务引领者,已获得检验检测机构资质认定证书(CMA)、实验动物使用许可证、“ISO三体系认证”等专业认证。
免责声明:部分文章整合自网络,因内容庞杂无法联系到全部作者,如有侵权,请联系删除,我们会在第一时间予以答复,万分感谢。







您已经拒绝加入团体

