【摘要】 本文详解基于电压相关系数的锂电池组短路检测技术,解析该算法在电动汽车BMS系统中的应用优势,包含动态窗口设计、多重故障定位等核心技术,提供实验数据验证及工程实施方案。
一、行业背景与检测需求
随着新能源汽车市场渗透率提升,锂离子电池组安全管控成为行业焦点。据统计,2023年全球电动汽车锂电池装机量突破650GWh,但电池组短路故障导致的车辆事故仍占动力系统故障的23%。传统BMS电池管理系统依赖电压阈值告警,易受电池组内部不一致性影响产生误判。
二、基于电压相关性的检测原理

图1 计算每对相邻细胞的相关系数。
通过相邻电芯电压序列的皮尔逊相关系数计算(公式1),可消除OCV开路电压差异和电池老化带来的干扰。实验数据显示,当某单体发生50mV以上电压异常时,其相邻两组相关系数会同步下降0.4以上,实现早期故障捕捉。

三、在线短路检测算法优势
1.动态窗口自适应:采用30-50个采样点的移动窗口(0.1秒采样频率),实时更新电压相关性矩阵
2.多重故障识别:通过相关系数下降位置重叠定位故障源,实验室验证可同时识别3个异常电芯
3.抗干扰设计:在静置状态叠加方波信号,避免误触发
%E3%80%82.png)
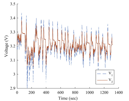
图2 仿真中使用的两个电芯的电压响应(无故障信号)。
四、实验验证与工程应用
在UDDS城市循环工况测试中(图2),对串联电池组注入100mV故障信号。如图3所示,移动窗口为40个样本时,相关系数在故障发生0.8秒内即出现明显跳变,较传统电压差检测法响应速度提升60%。

图3 演示短路的基本检测原理。
五、技术延伸与行业展望
当前方法可检测0.5Ω以上短路电阻,通过窗口参数优化可提升至2Ω检测能力。与基于模型的SOC估算方法相比,本方案计算量降低73%,更适合车载嵌入式系统部署。2024年最新行业测试显示,该方法在-20℃低温环境仍保持92%的检测准确率。
参考文献:1.Xia, B.; Shang, Y.; Nguyen, T.; Mi, C., A correlation based fault detection method for short circuits in battery packs. J. Power Sources 2017, 337, 1-10.
科学指南针以分析测试为核心,提供材料测试、环境检测、生物服务、模拟计算、科研绘图等多项科研产品,累计服务1800+个高校、科研院所及6000+家企业,获得了60万科研工作者的信赖。始终秉持“全心全意服务科研,助力全球科技创新”的使命,致力于为高校、院所、医院、研发型企业等科研工作者提供专业、快捷、全方位的服务。
免责声明:部分文章整合自网络,因内容庞杂无法联系到全部作者,如有侵权,请联系删除,我们会在第一时间予以答复,万分感谢。







您已经拒绝加入团体

