【摘要】 中国科学院最新研究揭示TOF-SIMS技术检测磷灰石中Sr、Mn、Fe及F、Cl的精度突破,验证NIST610玻璃作为标准物质的可行性,为地质分析与矿产勘探提供关键技术支撑。
磷灰石(化学式Ca₅(PO₄)₃(F,Cl,OH))作为岩石中广泛存在的副矿物,其微量元素(如稀土元素、Sr、Mn)及卤素(F、Cl)含量对揭示岩浆演化与成矿过程具有关键指示作用。本文基于Meng-Qin Wang团队最新研究,深度解析飞行时间二次离子质谱(TOF-SIMS)技术在该领域的定量分析精度与创新应用。
一、TOF-SIMS技术核心:基质效应破解方案
针对二次离子质谱中基质效应的影响,研究采用相对灵敏度因子(RSF)实现精准定量。通过标准参比物质建立数学模型:
计算公式
其中,为元素浓度,为待测元素与基体元素的信号强度比。该模型成功解决了不同离子种类、基质成分对检测结果的干扰问题。
二、微量元素检测精度突破性数据
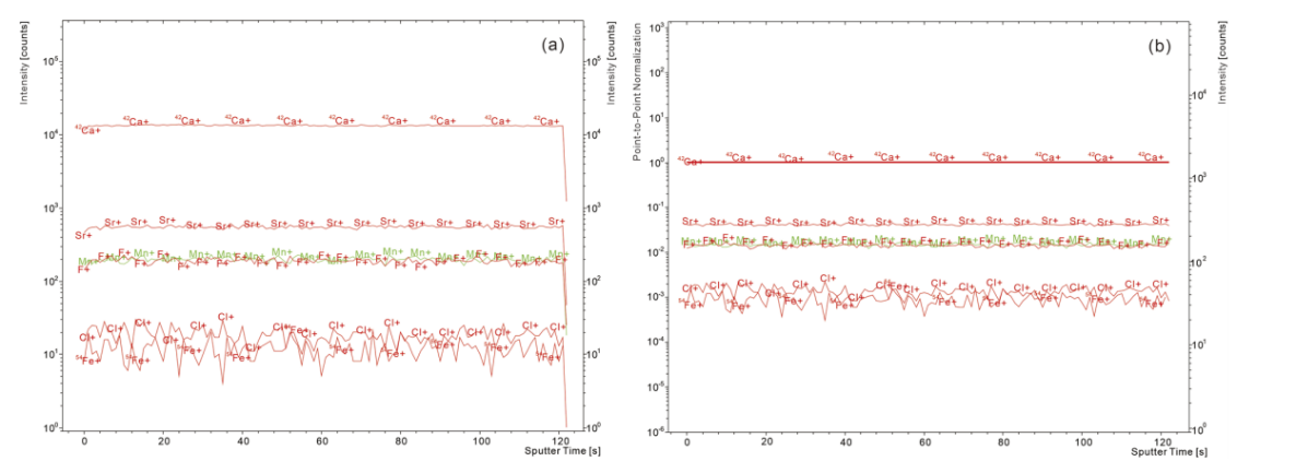
研究团队以杜兰戈磷灰石为样本,通过115个数据点统计分析(见图1),获得以下成果:
%E5%92%8C%E5%8D%A4%E7%B4%A0(F%E5%92%8CCl)%E3%80%82%E5%85%B6%E6%89%81%E5%B9%B3%E7%9A%84115%E4%B8%AA%E6%95%B0%E6%8D%AE%E7%82%B9%E8%A2%AB%E6%88%AA%E5%8F%96%E7%94%A8%E4%BA%8E%E7%B2%BE%E5%BA%A6%E5%88%86%E6%9E%90.png)
图1 在TOFSIMS正离子模式下,使用42Ca+作为矩阵元素信号,将深度剖面归一化为痕量元素(Sr、Mn和54Fe)和卤素(F和Cl)。其扁平的115个数据点被截取用于精度分析
检测精度(RSD)
- Sr元素:5.72%-13.10%(采用⁴²Ca⁺、⁴³Ca⁺、⁴⁴Ca⁺、Ca₂PO₃⁺归一化)
- Mn元素:11.05%-18.99%
- ⁵⁴Fe元素:11.37%-18.07%(创新规避CaO质谱干扰策略见图2)

图2 正离子模式下的TOF-SIMS质谱
三、卤素检测模式创新对比
研究首次系统对比正/负离子模式检测效能:
正离子模式(基体信号:Ca同位素)
- F精度:6.11%-10.09%
- Cl精度:4.41%-15.11%
负离子模式(基体信号:¹⁸O⁻、P⁻)
- F精度:8.77%-12.77%
- Cl精度:25.19%-29.43%
数据证实正离子模式在卤素检测中更具稳定性优势。
四、标准物质拓展应用验证
突破性验证NIST610玻璃作为跨基质标准参考物质的可行性:
- 检测误差控制在3倍阈值内
- 杜兰戈磷灰石标准品检测准确度达0.07%
该发现为地质实验室降低成本、提升检测效率提供重要技术支撑。
五、技术应用前景展望
本研究证实TOF-SIMS技术:
1.可实现磷灰石微量元素4.41% RSD级精密度
2.建立卤素检测最优信号归一化方案
3.拓展标准物质选择范围
为岩浆成因解析、矿产勘探及同位素研究提供高精度分析工具。
参考文献:[1] : J. Anal. At. Spectrom., 2024,39, 1609
科学指南针以分析测试为核心,提供材料测试、环境检测、生物服务、模拟计算、科研绘图等多项科研产品,累计服务1800+个高校、科研院所及6000+家企业,获得了60万科研工作者的信赖。始终秉持“全心全意服务科研,助力全球科技创新”的使命,致力于为高校、院所、医院、研发型企业等科研工作者提供专业、快捷、全方位的服务。
免责声明:部分文章整合自网络,因内容庞杂无法联系到全部作者,如有侵权,请联系删除,我们会在第一时间予以答复,万分感谢。







您已经拒绝加入团体

