【摘要】 近红外反射光谱技术实现土壤有机碳(SOC)快速无损检测,精度达实验室级别。详解NIRS技术原理、PLS回归模型优势及田间应用方案,助力农业碳汇监测。
大气二氧化碳浓度上升导致全球均温升高0.5°C,农业土壤作为有机碳汇的价值日益凸显。土壤有机碳(SOC)浓度受耕作方式与轮作制度显著影响,其精准量化对全球碳汇核算至关重要。传统实验室检测方法存在耗时长、成本高、破坏样本等局限,而近红外反射光谱技术(NIRS) 凭借快速无损、便携化等优势,正成为土壤有机碳(SOC)和土壤有机质(SOM)检测的有效解决方案。
美国阿肯色大学研究团队[1]采用偏最小二乘(PLS)回归模型,通过土壤反射率及其一阶导数预测SOC浓度。研究对比两种验证方式:全交叉验证和30%独立样本验证。结果表明:
1.两种验证模型均与实验室数据呈现显著相关性(p<0.01)
2.基于反射率一阶导数的预测精度显著优于原始反射率数据
3.NIRS检测全程无需化学试剂,单样检测时间缩短80%
%E5%9C%9F%E5%A3%A4%E5%8F%8D%E5%B0%84%E7%8E%87(a)%E5%92%8C%E4%B8%80%E9%98%B6%E5%AF%BC%E6%95%B0(b)%E5%AF%B95%E7%A7%8D%E5%9C%9F%E5%A3%A4%E7%9A%84%E5%9C%9F%E5%A3%A4%E5%8F%8D%E5%B0%84%E7%8E%87%E5%80%BC%E8%BF%9B%E8%A1%8C%E9%A2%84%E6%B5%8B%E3%80%82%5B1%5D.png)
图1. 利用近红外反射光谱(NIRS)土壤反射率(a)和一阶导数(b)对5种土壤的土壤反射率值进行预测。[1]
近红外光谱技术对土壤有机组分具有特异性响应,官能团的泛频振动在光谱中形成独特指纹。近30年研究表明,该方法对SOC/SOM的定量分析可靠性已获广泛验证。
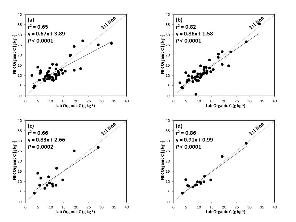
%E7%9A%84%E9%AA%8C%E8%AF%81%E6%95%B0%E6%8D%AE%E3%80%82%5B1%5D.png)
图2. 近红外预测与实验室测量土壤有机碳(SOC)的验证数据。[1]
随着碳汇农业的发展,快速土壤碳检测已成为管理刚需。NIRS技术兼具三大核心优势:
- 现场便携检测:新型设备支持田间原位测量
- 经济高效:单次检测成本降低60%
- 生态友好:零化学污染,样本可重复利用
研究证实,基于PLS回归的近红外光谱分析法可精准替代传统实验室测量(误差范围<5%),为耕地碳汇监测提供关键技术支撑。
参考文献:[1] Bushong, J. T., Norman, R. J., & Slaton, N. A. (2015). Near-Infrared Reflectance Spectroscopy as a Method for Determining Organic Carbon Concentrations in Soil. Communications in Soil Science and Plant Analysis, 46(14), 1791–1801.
科学指南针已获得检验检测机构资质认定证书(CMA)、实验动物使用许可证、“ISO三体系认证”等专业认证,提供材料测试、高端测试、环境检测、生物服务、模拟计算、科研绘图、数据分析、试剂耗材、行业解决方案、指南针学院等多项科研产品和服务矩阵。企业致力于为高校、科研院所、医院、研发型企业等科研工作者,提供专业、快捷、全方位的检测及科研服务。
免责声明:部分文章整合自网络,因内容庞杂无法联系到全部作者,如有侵权,请联系删除,我们会在第一时间予以答复,万分感谢。







您已经拒绝加入团体

