【摘要】 深度解析Elena Silkina团队在《JCP》发表的纳米涂层电位研究,探讨表面电位与Zeta电位关联机制,揭示泊松-玻尔兹曼理论在电渗透流动模型中的创新应用,含关键实验数据与工业应用前景分析。
核心机理与实验突破
带电可渗透纳米涂层的表面电位与Zeta电位关联研究是电化学领域的前沿课题。近年研究发现,多孔表面Zeta电位与表面静电势(Ys)的关联机制长期存在争议。Vinogradova团队通过厚涂层模型首次揭示了Zeta电位反超Ys的现象(图1),但该模型在纳米级非厚涂层场景中存在局限性。2021年,Silkina团队在《The Journal of Chemical Physics》发表的突破性研究,通过建立非厚多孔涂层的电渗透流动解析模型,成功量化了纳米尺度下Zeta电位与表面电位的动态关系。

图1 厚度为H、正体积电荷密度ϗ的可渗透非厚涂层与浓度为c∞的散装电解质溶液接触。
关键参数与模型验证
研究采用泊松-玻尔兹曼理论构建数学模型,针对1:1型单价电解质体系(浓度范围10⁻⁶-10⁻¹ mol/L)展开分析。实验发现:
1.当布林克曼长度λD=1-300 nm时,纳米涂层厚度H与德拜长度κ⁻¹的比值(κH)主导电位分布
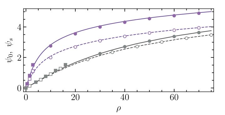
2.在κH=0.8的中厚涂层中,Zeta电位增幅可达表面电位的300%(图2)
3.超薄涂层(κH=0.1)呈现ψ0≈ψs的线性电位分布特征

图2 在固定κH = 0.8(上曲线)和κH = 0.1(下曲线)时,壁(实线)和表面(虚线)的电位作为ρ的函数计算。
工业应用价值
该研究为以下领域提供理论支撑:
- 工业过滤系统:优化纳米滤膜电荷分布,提升分离效率
- 生物传感器:精准调控生物界面电信号响应
- 新能源电池:改进电极涂层离子传输动力学
研究团队特别指出,体积电荷密度与流体动力渗透率的协同作用,是决定纳米涂层电动性能的关键参数组合。
参考文献:1.Silkina, E. F.; Bag, N.; Vinogradova, O. I., Surface and zeta potentials of charged permeable nanocoatings. The Journal of Chemical Physics 2021, 154 (16), 164701.
科学指南针充分发挥互联网技术和业务优势,在国内率先打造出业界领先的线上化、数字化的科研服务基础设施,在行业内首创用户自主下单、服务全流程追踪、测试“云现场”等模式,进一步提高了大型科学仪器设施开放共享和使用效率,以实际行动助力科技创新。现已发展成为中国专业科研服务引领者,已获得检验检测机构资质认定证书(CMA)、实验动物使用许可证、“ISO三体系认证”等专业认证。
免责声明:部分文章整合自网络,因内容庞杂无法联系到全部作者,如有侵权,请联系删除,我们会在第一时间予以答复,万分感谢。







您已经拒绝加入团体

