【摘要】 中欧研究揭示木材硬度与力学性能关联:采用Woodtester设备实现半破坏检测,建立40组评估模型,适用于古建木构件抗压强度评估与缺陷诊断。
木质承重构件的技术评估是古建修复与加固设计的关键步骤。现行规范要求除目测外,需采用半破坏性检测方法补充评估。本研究通过硬化试验(针压痕法)对中欧松木、云杉、冷杉等结构木材进行定量分析,填补了该领域数据空白。
试验设备与方法
采用意大利Novatest Woodtester硬度仪(冲击能量2.4J),配备60HRC级硬化钢针(直径2.5mm,锥角35°,长度50mm),测量精度达0.01mm。设备经>52HRC控制砧校准。针对软木特性,创新采用单次压痕(PD1)与双次压痕(PD2)两种测试方案:
- PD1:单点单次冲击
- PD2:同点位连续冲击两次
通过测量钢针未压入部分的长度差值获取数据(见图1设备工作示意)。

图1 测量集
核心发现与数据相关性
通过200+样本测试,获得以下关键结论:
1.密度相关性
硬度与木材密度呈现强正相关(r=0.62-0.82)
2.力学性能关联
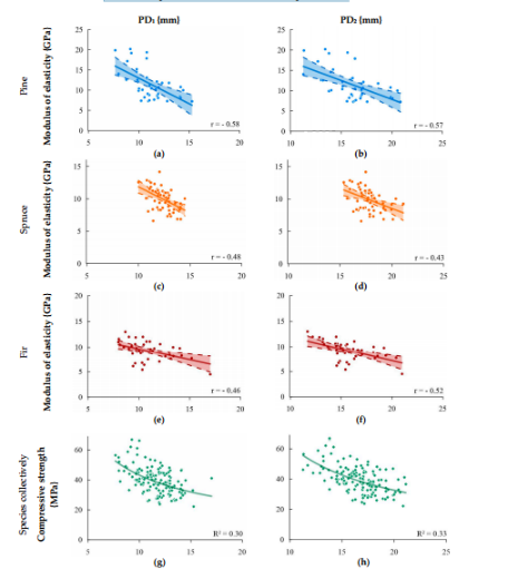
抗压强度与针压痕数据显著相关(r=0.40-0.70),松木相关性最强,云杉最弱(图2示PD测试结果):

图2 抗压强度与硬度试验PD结果的关系
3.缺陷影响机制
含少量节疤的构件检测准确度高(r>0.6),但节疤率>15%时相关性锐减(r=0.23-0.52)
工程应用价值
研究建立40组功能模型,可直接用于:
- 木构件现场无损评估
- 古建筑承重结构安全诊断
- 历史建筑修复方案制定
注:实施时需结合树种特性(松木适用性最佳)及缺陷比例进行数据修正
参考文献:[1] Jaskowska-Lema ´nska, J.; Wałach, D. Assessment of the Technical Condition of Timber Structural Elements Using Sclerometric Tests. Materials 2023, 16, 6152. https://doi.org/10.3390/ma16186152
科学指南针已获得检验检测机构资质认定证书(CMA)、实验动物使用许可证、“ISO三体系认证”等专业认证,并荣获国家高新技术企业、国家“互联网+科研服务领军企业等多项荣誉。未来,科学指南针将继续朝着“世界级科研服务机构”的目标,在产品研发和用户服务等方面持续努力,为科学发展和技术创新做出更大贡献。
免责声明:部分文章整合自网络,因内容庞杂无法联系到全部作者,如有侵权,请联系删除,我们会在第一时间予以答复,万分感谢。







您已经拒绝加入团体

