【摘要】 本研究通过热解Co@HKUST-1制备Co₃O₄/CuO@C催化剂,用于活化过一硫酸盐(PMS)高效降解二甲戊灵(PM),30分钟内降解率达98.2%。碳层和双金属设计减少金属浸出,提升稳定性。系统探究了PM降解影响因素(浓度、pH、温度)、活性物种(¹O₂主导)及降解路径,并通过EPR测试和淬灭实验验证机理。催化剂在真实水环境中表现良好,为PM污染治理提供新思路。

本篇文献使用了科学指南针论文服务中的标准润色
(根据英文母语表达习惯,针对语法、时态、拼写、专业术语等方面进行优化和提升)
01/文章背景
二甲戊灵(PM)是一种二硝基苯胺类除草剂,用于控制作物中的阔叶杂草。它通过抑制植物细胞分裂和细胞壁的形成发挥作用。PM是一种潜在的人类致癌物(C组)。尽管欧盟已批准将PM用于农业,但PM对鱼类和其他小型水生生物具有长期毒性。美国环境保护局已将PM列为“有毒污染物”。目前,PM系统性的降解研究较少,其降解途径还有待深入探究。此外,迫切需要一种高效的方法来降解PM。过渡金属活化PMS的高级氧化技术是一种很有前途的降解水体中有机污染物的方法。因此,本研究开发了一种Co@HKUST-1热解制备Co₃O₄/CuO@C活化PMS降解PM的方法。旨在通过金属氧化物和碳层来减少金属离子的浸出,同时高效活化PMS快速降解PM。
02/成果简介
内蒙古农业大学张晓涛教授等人制备了一种低浓度金属离子浸出的Co₃O₄/CuO@C催化剂,用于活化PMS降解二甲戊灵(PM)。通过溶剂热法制备Co@HKUST-1,热解制备Co₃O₄/CuO@C。碳层和双金属的存在减少了金属离子的浸出和提高了PMS的活化效率。3Co₃O₄/CuO@C可高效活化PMS降解PM(98.2%,30min)。随后研究了PM降解的影响因素和Co₃O₄/CuO@C各组分对PM降解的贡献。采用EPR测试和淬灭试验,测试了Co₃O₄/CuO@C活化PMS降解PM体系中存在的活性物种。测试了Co₃O₄/CuO@C在实际水体环境中活化PMS对PM的降解效率。提出了两条PM的降解途径并预测了中间体的生物毒性。最后提出了PM的降解机理。本研究提出了PM降解的新途径,为水体中PM的治理提供了一种新的思路。
03/图文导图

图1. (a) 样品的XRD(X射线衍射)图谱;(b) 样品的拉曼光谱图;(c) Cu-MOF的SEM(扫描电子显微镜)图像;(d,e) 3Co₃O₄/CuO@C的SEM图像;(f,g)3Co₃O₄/CuO@C的TEM(透射电子显微镜)图像;(h)3Co₃O₄/CuO@C的HRTEM(高分辨透射电子显微镜)图像;(i) 3Co₃O₄/CuO@C的选区电子衍射(SAED)图像;(j) 3Co₃O₄/CuO@C中C、N、O、Cu和Co元素的EDS(能量色散X射线光谱)图像。

图2. (a) Cu-MOF、(b) 3Co-Cu-MOF 和 (c) 3Co₃O₄/CuO@C 的 N2 吸附-脱附曲线及孔径分布。

图3. (a) 3Co-Cu-MOF和3Co₃O₄/CuO@C的XPS全谱图。 样品的高分辨率XPS谱图:(b1, b2) C 1s,(c1, c2) O 1s,(d1,d2) N 1s,(e1, e2) Cu 2p,以及(f1, f2) Co 2p。

图4. (a) 不同体系在30分钟内的PM去除效率:实验条件为初始PM浓度10 mg/L,体积100 mL,催化剂用量20 mg,PMS用量20 mg,pH值6.8,温度25℃。(b) 初始PM浓度对PM降解效率的影响:实验条件为体积100 mL,3Co₃O₄/CuO@C用量20 mg,PMS用量20 mg,pH值6.8,温度25℃。(c) 催化剂用量对PM降解效率的影响:实验条件为初始PM浓度10 mg/L,体积100 mL,PMS用量20 mg,pH值6.8,温度25℃。(d) PMS用量对PM降解效率的影响:实验条件为初始PM浓度10 mg/L,体积100 mL,3Co₃O₄/CuO@C用量20 mg,pH值6.8,温度25℃。(e) pH值对PM降解效率的影响:实验条件为初始PM浓度10 mg/L,体积100 mL,3Co₃O₄/CuO@C用量20 mg,PMS用量20 mg,温度25℃。(f) 温度对PM降解效率的影响:实验条件为初始PM浓度10 mg/L,体积100 mL,3Co₃O₄/CuO@C用量20 mg,PMS用量20 mg,pH值6.8。

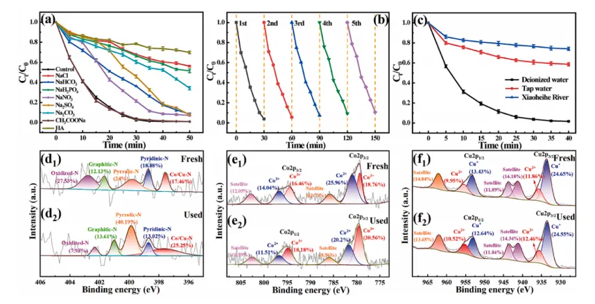
图5. (a) 不同无机离子和HA对PM降解的影响;实验条件:初始PM浓度为10 mg/L,体积为100 mL,3Co₃O₄/CuO@C用量为20 mg,PMS用量为20 mg,pH值为6.8,温度为25℃,NaCl、NaHCO₃、NaH₂PO₄、NaNO₃、Na₂SO₄、Na₂CO₃和CH₃COONa的浓度均为5 mM,HA用量为20 mg。(b) 3Co₃O₄/CuO@C的重复使用性能;实验条件:初始PM浓度为10 mg/L,体积为100 mL,催化剂用量为20 mg,PMS用量为20 mg,pH值为6.8,温度为25℃。(c) 3Co₃O₄/CuO@C活化PMS在不同环境中对PM的降解曲线;实验条件:初始PM浓度为10 mg/L,体积为100 mL,3Co₃O₄/CuO@C用量为20 mg,PMS用量为20 mg,pH值为6.8,温度为25℃。(d) 使用前和使用后的3Co₃O₄/CuO@C复合材料的高分辨率XPS光谱:N 1s;(e) Co 2p;(f) Cu 2p。

图6. (a) 不同清除剂对通过3Co₃O₄/CuO@C活化PMS去除PM的影响;实验条件:初始PM浓度为10 mg/L,体积为100 mL,催化剂用量为20 mg,PMS用量为20 mg,pH值为6.8,KI、L-his和p-BQ用量为2 mM,TBA、MeOH和DMSO用量均为50 mM,温度为25℃。(b) 使用DMPO捕获OH•和SO₄•-。(c)使用TEMP捕获¹O₂(d) 使用DMPO捕获O₂•-。

图7. (a) 使用KSCN对金属离子进行淬灭对催化剂降解PM的影响;实验条件:初始PM浓度为10 mg/L,体积为100 mL,催化剂用量为20 mg,PMS用量为20 mg,pH值为6.8,温度为25℃,KSCN用量为2 mM。(b) 催化剂中的浸出金属离子活化PMS对PM的降解效率;实验条件:初始PM浓度为10 mg/L,体积为100 mL,PMS用量为20 mg,pH值为6.8,温度为25℃。(c) 体系中PMSO的降解速率和PMSO₂的生成速率;实验条件:初始PMSO浓度为60 mg/L,体积为100 mL,催化剂用量为20 mg,PMS用量为20 mg,温度为25℃。(d) PM对PMS分解速率的影响;实验条件:初始PM浓度为10 mg/L,体积为100 mL,催化剂用量为20 mg,PMS用量为20 mg,温度为25℃。

图8. (a) PM的三维结构优化;(b) 结构式及原子标记;(c) 静电势分布;(d)可能降解路径及中间产物;(e) 最高占据分子轨道(HOMO);(f)最低未占分子轨道(LUMO)。

图9. 中间产物的危害分析:(a) 生物富集系数;(b) D. magna LC50(48小时);(c) fathead minnow LC50(96小时);(d) T. pyriformis IGC50(48小时);(e) oral rat LD50。(f) 总有机碳(TOC)去除率;实验条件:初始PM浓度为10 mg/L,体积为100 mL,3Co₃O₄/CuO@C用量为50 mg,PMS用量为50 mg,pH值为6.8,温度为25℃。

图10. Co₃O₄/CuO@C活化PMS降解PM的机理。
04/总结与展望
综上,在这项工作中制备了Co₃O₄/CuO@C催化剂。通过溶剂热法制备Co@HKUST-1,高温热解形成Co₃O₄/CuO@C材料,碳层的存在减少了金属离子的浸出,提高了材料的稳定性。通过活化PMS降解PM,PM的降解效率为98.2% (30min),伪一级动力学常数值为0.12268 min⁻¹。PM的降解效率与催化剂和PMS的用量成正相关,与PM的初始浓度成负相关。弱碱性环境有利于PM降解。PM降解是一个吸热反应。经过五个周期的使用,3Co₃O₄/CuO@C表现出良好的PM去除率(89.26%),但受外部离子和HA的影响较大。在PM降解过程中,产生了OH•、SO₄•-、O₂•-和¹O₂。SO₄•-的量很少,对PM的降解作用最小,¹O₂对PM降解作用最大。碳层的主要功能是吸附PM,对PMS活化贡献最大的是Co₃O₄,其次是CuO。Co₃O₄和CuO之间发生了电子转移,从而加速了PMS的活化。 体系中存在Coᴵⱽ和Co-OOSO₃-。提出了PM的可能降解途径,预测了中间体的生物毒性。最后,提出了一种PM的降解机理。本研究首次采用Co₃O₄/CuO@C活化PMS降解PM,研究了材料的性能和影响PM降解的因素,为当前环境水体中PM的降解提供了一种新的思路。
除了英文润色之外,科学指南针还提供帮助您进行同行评审、推荐期刊、期刊排版、学术翻译、SCI论文查重、SCI投稿支持等服务,助力您的科研成果登上国际舞台。

扫描上方二维码,即可咨询小曼老师了解论文润色服务详情







您已经拒绝加入团体

