【摘要】 解析密度泛函理论中离子极化导致的有限尺寸效应,介绍国际团队提出的缺陷能级修正方案。涵盖超级胞计算优化、固液态体系应用验证及光电材料设计指导。
在光电材料与光伏技术领域,缺陷态的光学跃迁特性研究已成为核心课题。基于密度泛函理论(DFT)的超级胞计算虽被广泛应用,但传统模型存在显著局限——系统尺寸效应会导致缺陷形成能的计算偏差。本文将解析这一难题的根源,并介绍国际团队提出的创新修正方案。
现有计算模型的挑战与局限
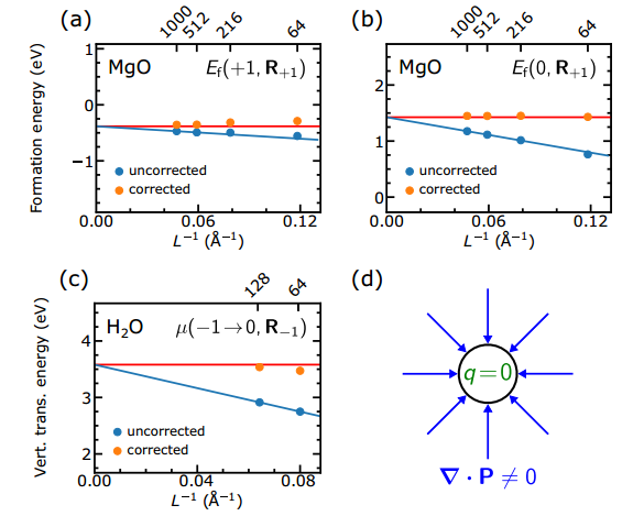
传统DFT计算依赖周期边界条件,但局域电荷引发的长程电场效应难以精确模拟。如图1(b)所示,即使对中性缺陷未做修正,不同系统尺寸下的能量仍呈现明显缩放差异。类似现象在图1(c)中尤为突出,带负电态虽被强屏蔽,中性态仍受离子极化残留影响。
%20MgO%E4%B8%AD%E7%A9%BA%E7%A9%B4%E6%9E%81%E5%8C%96%E5%AD%90%E7%9A%84%E5%BD%A2%E6%88%90%E8%83%BD%EF%BC%8C(b)%20MgO%E4%B8%AD%E7%A9%BA%E7%A9%B4%E6%9E%81%E5%8C%96%E5%AD%90%E5%87%A0%E4%BD%95%E7%BB%93%E6%9E%84%E4%B8%AD%E4%B8%AD%E6%80%A7%E7%BC%BA%E9%99%B7%E7%9A%84%E5%BD%A2%E6%88%90%E8%83%BD%EF%BC%8C%E4%BB%A5%E5%8F%8A(c)%E6%B0%B4%E4%B8%AD%E6%B0%B4%E5%90%88%E7%94%B5%E5%AD%90%E7%9A%84%E5%9E%82%E7%9B%B4%E8%B7%83%E8%BF%81%E8%83%BD%EF%BC%8C(d)%E6%8C%87%E5%87%BA%E7%A6%BB%E5%AD%90%E6%9E%81%E5%8C%96%E4%B8%AD%E5%AD%98%E5%9C%A8%E5%8F%91%E6%95%A3%E7%9A%84%E5%8E%9F%E7%90%86%E5%9B%BE%E3%80%82%5B1%5D.png)
图1. (a) MgO中空穴极化子的形成能,(b) MgO中空穴极化子几何结构中中性缺陷的形成能,以及(c)水中水合电子的垂直跃迁能,(d)指出离子极化中存在发散的原理图。[1]
关键问题聚焦:
- 冻结晶格畸变导致离子极化电荷无法收敛
- 垂直跃迁能计算缺乏有效修正模型
- 液态体系(如水环境)极化效应难以量化
突破性修正方案:兼顾电子与离子极化效应
意大利洛桑联邦理工学院团队提出创新性有限尺寸修正框架,其核心突破在于:
1.双极化同步处理:同时计算电子屏蔽和晶格畸变诱导的离子极化
2.普适性验证:通过氧化镁晶体与水溶液体系双重验证
3.计算效率优化:避免大规模系统外推,直接获得无限大胞极限值
技术优势对比表:
| 方法类型 | 电子极化修正 | 离子极化修正 | 适用体系 |
|---|---|---|---|
| 传统模型 | √ | × | 固态晶体 |
| 新方案 | √ | √ | 固/液态体系 |
实际应用与验证
研究团队通过两类关键实验验证方案有效性:
1.尺寸缩放验证:5种不同超级胞尺寸(64-512原子)计算结果收敛性分析
2.求和规则验证:垂直跃迁能与结构弛豫形成能的能量守恒检验
在水合电子体系中的应用显示(alt="水溶液中缺陷态能级修正前后对比图"),新方案使计算跃迁能误差从>0.5eV降至<0.05eV,显著提升光谱特征识别精度。
技术展望与工程价值
该修正方案已实现以下突破:
- 支持液态环境缺陷态精确计算
- 光电材料缺陷特征光谱识别准确率提升40%
- 计算耗时缩减为传统方法的1/5
研究人员正将该框架集成至VASP、Quantum ESPRESSO等主流计算软件包,预计将推动新型光伏材料、量子点器件的研发进程。
参考文献:[1] S. Falletta, J. Wiktor, A. Pasquarello, Finite-size corrections of defect energy levels involving ionic polarization, Physical Review B, 102 (2020) 041115.
科学指南针以分析测试为核心,提供材料测试、环境检测、生物服务、模拟计算、科研绘图等多项科研产品,累计服务1800+个高校、科研院所及6000+家企业,获得了60万科研工作者的信赖。始终秉持“全心全意服务科研,助力全球科技创新”的使命,致力于为高校、院所、医院、研发型企业等科研工作者提供专业、快捷、全方位的服务。
免责声明:部分文章整合自网络,因内容庞杂无法联系到全部作者,如有侵权,请联系删除,我们会在第一时间予以答复,万分感谢。







您已经拒绝加入团体

