【摘要】 该软件的自动化功能在多次试验测量中进行了测试,以获得不同温度和微波频率下掺钒碳化硅 (SiC + V) 的 CW-EPR 光谱、通过 2D-EPR 映射获得的多频谱以及密集的 FS-EPR 数据锂酞菁晶体在磁场中旋转
我们提出了一种在 LabVIEW 中为自制高频电子顺磁共振 (HF-EPR) 波谱仪开发的软件解决方案。采用模块化方法来控制光谱仪子系统并简化开发过程中对硬件变化的适应。该解决方案实现了传统连续波 EPR (CW-EPR)、扫频 EPR (FS-EPR) 和二维 EPR (2D-EPR) 测绘的测量程序,这些程序在不同情况下都相关。该软件的自动化功能在多次试验测量中进行了测试,以获得不同温度和微波频率下掺钒碳化硅 (SiC + V) 的 CW-EPR 光谱、通过 2D-EPR 映射获得的多频谱以及密集的 FS-EPR 数据锂酞菁晶体在磁场中旋转。结论中讨论了软件的一些预期修改。模块化特征允许在其他实验设置中轻松重用代码部分。该光谱仪和软件目前在布尔诺中欧理工学院 (CEITEC) 的 EPR 光谱学实验室中部署和使用,其获得的数据已在许多出版物中使用。

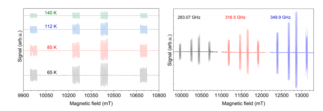
Fig. 1. Temperature dependency of CW-EPR spectra for 4H-SiC:V at 283.07 GHz. The optimal signal was obtained at a temperature range of 65 to 85 K. This is because at lower temperatures, the saturation of the EPR spectra prevented the adequate acquisition of the signal, while at higher temperatures, the reduced difference between the Boltzmann populations of the spin states led to a decrease in signal intensity. RIGHT: CW spectra measured at different microwave frequencies obtained at 125 K. An increase of the signal at higher frequencies is partially due to a higher population difference at higher frequencies and partially because the used EPR probe is optimized for higher frequencies, in this specific case for 430 GHz. 【1】

Fig. 2. LEFT: EPR map (Zeeman diagram) of 4H-SiC:V. TOP RIGHT: Remeasured detailed map. BOTTOM RIGHT: Extracted (green) and simulated (red) CW spectrum【1】
使用的第一个模型样品是掺钒的 4H 多型碳化硅 (4H-SiC:V)。钒 (V) 通常用于制造高功率微波电子器件所需的半绝缘基板,以补偿晶体生长过程中引入的残留杂质(如硼和氮)。
钒在六方或准立方对称位点取代 SiC 晶格中的 Si 原子,可以充当施主或受主 。
通过二次离子质谱 - SIMS 获得所用样品中的钒浓度为 3x1017 cm- 3。无论位点如何,掺杂剂的氧化态都是 V3+,自旋 S = 1,每个位点都有不同的 g 因子。根据这种情况的预测能级,样品的每个方向预计有两组两个 EPR 吸收峰。此外,核自旋 I = 7/2 的同位素 51V 自然占主导地位,丰度为 99.75%,因此每个 EPR 吸收峰显示由超精细分裂产生的 2I + 1 = 8 条线。这四个吸收峰分成 8 条超细线,每条线如图 1 和图 2 所示。第一轮测试实验旨在收集有关 CW-EPR 光谱的温度和微波频率依赖性的数据。频谱记录频率为 283.07、316.5 和 349.9 GHz。测量协议包括在固定温度下进行的三次连续场扫描,每次扫描均采用不同的微波频率。这三个测量之间不需要人工干预。
之后,手动改变温度,并将该程序重复几次。手动改变温度是因为很难预测样品温度稳定的等待时间。HF-EPR 光谱仪是由具有不同特性的各种仪器组成的复杂系统。为了确保高效运行,通常会开发专用软件。尽管 LabVIEW 等工具可以简化软件开发,但仪器中的任何更改都可能导致需要对软件进行大量修改或重写,从而导致时间和编码错误的风险。软件开发的模块化方法虽然最初看起来更复杂,但可以通过仅修改相关子模块来实现更轻松的硬件更改。
此外,可重用的子模块可以减少具有不同应用程序的类似系统的软件开发时间,因为只需更改主模块代码。可以通过向脚本的每一行添加任意等待间隔(大约 30-60 分钟)来自动化测量。温度和频率依赖性如图 5 所示。HF-EPR 光谱仪是由具有不同特性的各种仪器组成的复杂系统。为了确保高效运行,通常会开发专用软件。尽管 LabVIEW 等工具可以简化软件开发,但仪器中的任何更改都可能导致需要对软件进行大量修改或重写,从而导致时间和编码错误的风险。软件开发的模块化方法虽然最初看起来更复杂,但可以通过仅修改相关子模块来实现更轻松的硬件更改。此外,可重用的子模块可以减少具有不同应用程序的类似系统的软件开发时间,因为只需更改主模块代码。
【1】Matúš Šedivý, Vinicius Santana, Antonín Sojka, Oleksii Laguta, Petr Neugebauer,MEPROS – Modular electron paramagnetic resonance operating software for multifunctional high-frequency EPR spectrometer,Journal of Magnetic Resonance,Volume 355,2023,107556
科学指南针已获得检验检测机构资质认定证书(CMA)、实验动物使用许可证、“ISO三体系认证”等专业认证,提供材料测试、高端测试、环境检测、生物服务、模拟计算、科研绘图、数据分析、试剂耗材、行业解决方案、指南针学院等多项科研产品和服务矩阵。企业致力于为高校、科研院所、医院、研发型企业等科研工作者,提供专业、快捷、全方位的检测及科研服务。
免责声明:部分文章整合自网络,因内容庞杂无法联系到全部作者,如有侵权,请联系删除,我们会在第一时间予以答复,万分感谢。







您已经拒绝加入团体

